z book
便利帳
技術関係の便利帳です。クリックすると詳細が表示されます。
-
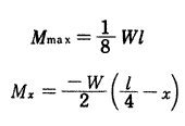
はりの計算図表: 静定はり - はりの図表
statically determinate beamスクロールできます曲げモーメント図
せん断力図曲げモーメントM たわみ 反力R、
せん断力F















お問い合わせ contact
不二製作所のブラストは多種多様な用途に使われています。まずはお気軽にお問い合わせください。
-
東京本社
-
装置検討・修理相談に関するお問合せ
03-3686-5104 -
部品・研磨材購入に関するお問合せ
03-3686-5806
-
-
名古屋営業所
052-703-2291 -
大阪営業所
06-6190-2323
※各営業所でもテスト加工可能です。























